cos90度=0,sin90度=1
在直角三角形中,当平面上的三点A、B、C的连线,AB、AC、BC,构成一个直角三角形,其中∠ACB为直角。对∠BAC而言,对边(opposite)a=BC、斜边(hypotenuse)c=AB、邻边(adjacent)b=AC。
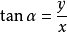
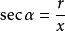
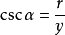
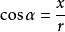
在平面直角坐标系xOy中设∠β的始边为x轴的正半轴,设点P(x,y)为∠β的终边上不与原点O重合的任意一点,设r=OP,令∠β=∠α,则:
,
,
,
,
,
。

扩展资料:
在Kπ/2中如果K为偶数时函数名不变,若为奇数时函数名变为相反的函数名。正负号看原函数中α所在象限的正负号。关于正负号有个口诀;一全正,二正弦,三两切,四余弦,即第一象限全部为正,第二象限角,正弦为正,第三象限,正切和余切为正,第四象限,余弦为正。或简写为“ASTC”,即“all”“sin”“tan+cot”“cos”依次为正。
还可简记为:sin上cos右tan/cot对角,即sin的正值都在x轴上方,cos的正值都在y轴右方,tan/cot 的正值斜着。
比如:90°+α。定名:90°是90°的奇数倍,所以应取余函数;定号:将α看做锐角,那么90°+α是第二象限角,第二象限角的正弦为正,余弦为负。所以sin(90°+α)=cosα , cos(90°+α)=-sinα 这个非常神奇,屡试不爽~
还有一个口诀“纵变横不变,符号看象限”,例如:sin(90°+α),90°的终边在纵轴上,所以函数名变为相反的函数名,即cos,所以sin(90°+α)=cosα。
