(2013春•榆阳区校级期中)已知函数f(x)=mx2+lnx﹣2x在定义域内是增函数,则实数m的取值范围为 [1,+∞) .

(2013春•榆阳区校级期中)已知函数f(x)=mx2+lnx﹣2x在定义域内是增函数,则实数m的取值范围为 [1,+∞) .
[考点]函数的单调性与导数的关系.
[专题]导数的综合应用.
[分析]函数f(x)=mx2+lnx﹣2x在定义域(x>0)内是增函数⇔≥0⇔对于任意x>0.⇔.利用导数即可得出.

[分析]函数f(x)=mx2+lnx﹣2x在定义域(x>0)内是增函数⇔≥0⇔对于任意x>0.⇔.利用导数即可得出.

[分析]函数f(x)=mx2+lnx﹣2x在定义域(x>0)内是增函数⇔≥0⇔对于任意x>0.⇔.利用导数即可得出.

[分析]函数f(x)=mx2+lnx﹣2x在定义域(x>0)内是增函数⇔≥0⇔对于任意x>0.⇔.利用导数即可得出.

[分析]函数f(x)=mx2+lnx﹣2x在定义域(x>0)内是增函数⇔≥0⇔对于任意x>0.⇔.利用导数即可得出.
[解答]解:∵函数f(x)=mx2+lnx﹣2x在定义域(x>0)内是增函数,∴≥0,化为.

[解答]解:∵函数f(x)=mx2+lnx﹣2x在定义域(x>0)内是增函数,∴≥0,化为.

[解答]解:∵函数f(x)=mx2+lnx﹣2x在定义域(x>0)内是增函数,∴≥0,化为.

[解答]解:∵函数f(x)=mx2+lnx﹣2x在定义域(x>0)内是增函数,∴≥0,化为.
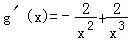
令g(x)=,=﹣,解g′(x)>0,得01.

令g(x)=,=﹣,解g′(x)>0,得01.

令g(x)=,=﹣,解g′(x)>0,得01.

令g(x)=,=﹣,解g′(x)>0,得01.
因此当x=1时,g(x)取得最大值,g(1)=1.
∴m≥1.
故答案为[1,+∞).
[点评]正确把问题等价转化、利用导数研究函数的单调性、极值与最值是解题的关键.
