你首先要明白土方量的算法:
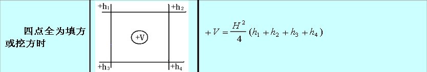
1、明白几个数据的意思:黄色字体为自然标高,蓝色字体为设计标高,粉红色字体为施工高度。

2、W为挖方量,计算公示如下:h即为图中的粉红色字体,即施工高度;H为方格网的边长,你图中的方格网边长算一下大概是5m。

3、回答完毕,满意请点赞!!
你首先要明白土方量的算法:
1、明白几个数据的意思:黄色字体为自然标高,蓝色字体为设计标高,粉红色字体为施工高度。

2、W为挖方量,计算公示如下:h即为图中的粉红色字体,即施工高度;H为方格网的边长,你图中的方格网边长算一下大概是5m。

3、回答完毕,满意请点赞!!