∫1/(1-x^2)dx
=∫1/[(1+x)(1-x)]dx
=1/2∫[1/(1+x)+1/(1-x)]dx
=1/2∫1/(1+x)dx+1/2∫1/(1-x)dx
=1/2∫1/(1+x)d(1+x)-1/2∫1/(1-x)d(1-x)
=1/2ln|1+x|-1/2ln|1-x|
=1/2ln|(1+x)/(1-x)|
对于一个函数f,如果在闭区间[a,b]上,无论怎样进行取样分割,只要它的子区间长度最大值足够小,函数f的黎曼和都会趋向于一个确定的值S,那么f在闭区间[a,b]上的黎曼积分存在,并且定义为黎曼和的极限S。这时候称函数f为黎曼可积的。将f在闭区间[a,b]上的黎曼积分记作:

扩展资料:
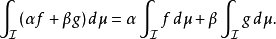
积分是线性的。如果一个函数f可积,那么它乘以一个常数后仍然可积。如果函数f和g可积,那么它们的和与差也可积。
所有在
上可积的函数构成了一个线性空间。黎曼积分的意义上,所有区间[a,b]上黎曼可积的函数f和g都满足:
所有在可测集合
上勒贝格可积的函数f和g都满足:
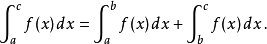
在积分区域上,积分有可加性。黎曼积分意义上,如果一个函数f在某区间上黎曼可积,那么对于区间内的三个实数a, b, c,有
如果函数f在两个不相交的可测集
和
上勒贝格可积,那么
如果函数f勒贝格可积,那么对任意
,都存在
,使得
中任意的元素A,只要
,就有
