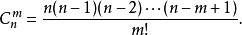
组合(combination),数学的重要概念之一。从n个不同元素中每次取出m个不同元素(0≤m≤n),不管其顺序合成一组,称为从n个元素中不重复地选取m个元素的一个组合。所有这样的组合的总数称为组合数,这个组合数的计算公式为

或者

n元集合A中不重复地抽取m个元素作成的一个组合实质上是A的一个m元子集合。
扩展资料
从n个不同元素中可重复地选取m个元素。不管其顺序合成一组,称为从n个元素中取m个元素的可重复组合。当且仅当所取的元素相同,且同一元素所取的次数相同,则两个重复组合相同。
排列组合计算方法如下:
排列A(n,m)=n×(n-1).(n-m+1)=n!/(n-m)!(n为下标,m为上标,以下同)
组合C(n,m)=P(n,m)/P(m,m) =n!/m!(n-m)!;
例如:
A(4,2)=4!/2!=4*3=12
C(4,2)=4!/(2!*2!)=4*3/(2*1)=6
