
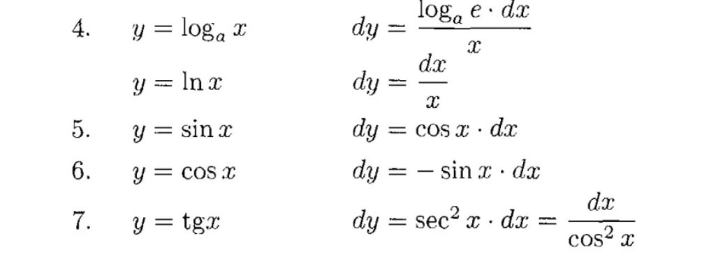
微分公式如图所示,
公式描述:公式中f'(x)为f(x)的导数。
微分公式的定义
设函数y = f(x)在x的邻域内有定义,x及x + Δx在此区间内。如果函数的增量Δy = f(x + Δx) - f(x)可表示为 Δy = AΔx + o(Δx)(其中A是不随Δx改变的常量,但A可以随x改变),而o(Δx)是比Δx高阶的无穷小(注:o读作奥密克戎,希腊字母)那么称函数f(x)在点x是可微的,且AΔx称作函数在点x相应于因变量增量Δy的微分,记作dy,即dy = AΔx。函数的微分是函数增量的主要部分,且是Δx的线性函数,故说函数的微分是函数增量的线性主部(△x→0)。

扩展资料:
微分公式的推导
设函数y = f(x)在某区间内有定义,x0及x0+△x在这区间内,若函数的增量Δy = f(x0 + Δx) f(x0)可表示为Δy = AΔx + o(Δx),其中A是不依赖于△x的常数, o(Δx)是△x的高阶无穷小,则称函数y = f(x)在点x0是可微的。 AΔx叫做函数在点x0相应于自变量增量△x的微分,记作dy,即:dy=AΔx。
微分dy是自变量改变量△x的线性函数,dy与△y的差是关于△x的高阶无穷小量,我们把dy称作△y的线性主部。得出: 当△x→0时,△y≈dy。 导数的记号为:(dy)/(dx)=f′(X),我们可以发现,它不仅表示导数的记号,而且还可以表示两个微分的比值(把△x看成dx,即:定义自变量的增量等于自变量的微分),还可表示为dy=f′(X)dX。

