1、等边三角形是锐角三角形,等边三角形的内角都相等,且均为60°。
2、等边三角形每条边上的中线、高线和角平分线互相重合。(三线合一)
3、等边三角形是轴对称图形,它有三条对称轴,对称轴是每条边上的中线、高线 或角的平分线所在的直线。
4、等边三角形重心、内心、外心、垂心重合于一点,称为等边三角形的中心。(四心合一)
5、等边三角形内任意一点到三边的距离之和为定值。(等于其高)
6、等边三角形拥有等腰三角形的一切性质。(因为等边三角形是特殊的等腰三角形)
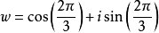
7、复数性质:
A,B,C三点的复数构成正三角形,等价于

其中

;

。

扩展资料:
一、尺规做法
第一种:可以利用尺规作图的方式画出正三角形,其作法相当简单,先用尺画出一条任意长度的线段(这条线段的长度决定等边三角形的边长)。
再分别以线段二端点为圆心、线段为半径画圆,二圆汇交于二点,任选一点,和原来线段的两个端点画线段,则这二条线段和原来线段即构成一正三角形。
第二种:在平面内作一条射线AC,以A为固定端点在射线AC上截取线段AB=等边三角形边长,然后保持圆规跨度分别以A,B为端在AB同侧点作弧,两弧交点D即为所求作的三角形的第三个顶点。
二、判定方法
1、三边相等的三角形是等边三角形(定义)。
2、三个内角都相等的三角形是等边三角形。
3、有一个内角是60度的等腰三角形是等边三角形。
4、两个内角为60度的三角形是等边三角形。
说明:可首先考虑判断三角形是等腰三角形。
等边三角形定义:
三条边都相等的三角形叫做等边三角形,“等边三角形”也被称为“正三角形”。是特殊的等腰三角形。
如果一个三角形满足下列任意一条,则它必满足另一条,三边相等或三角相等的三角形叫做等边三角形:
1.三边长度相等;
2.三个内角度数均为60度;
3.一个内角为60度的等腰三角形。
性质:
①等边三角形是锐角三角形,等边三角形的内角都相等,且均为60°。
②等边三角形每条边上的中线、高线和所对角的平分线互相重合(三线合一)
③等边三角形是轴对称图形,它有三条对称轴,对称轴是每条边上的中线、高线 或对角的平分线所在的直线。
④等边三角形重心、内心、外心、垂心重合于一点,称为等边三角形的中心。(四心合一)
⑤等边三角形内任意一点到三边的距离之和为定值(等于其高)
判定方法:
①三边相等的三角形是等边三角形(定义)
②三个内角都相等(为60度)的三角形是等边三角形
③有一个角是60度的等腰三角形是等边三角形
④ 两个内角为60度的三角形是等边三角形
说明:可首先考虑判断三角形是等腰三角形。
等边三角形的性质与判定理解:
首先,明确等边三角形定义。三边相等的三角形叫做等边三角形,也称正三角形。
其次,明确等边三角形与等腰三角形的关系。等边三角形是特殊的等腰三角形,等腰三角形不一定是等边三角形。
等比三角形的尺规做法:
可以利用尺规作图的方式画出正三角形,其作法相当简单:先用尺画出一条任意长度的线段(这条线段的长度决定等边三角形的边长),再分别以线段二端点为圆心、线段为半径画圆,二圆汇交于二点,任选一点,和原来线段的两个端点画线段,则这二条线段和原来线段即构成一正三角形。
