曲面图形可看成动线运动时的轨迹,形成曲面的动线称为母线。
曲面是一种几何图形,它是一条动线(直线或曲线)在空间连续运动的轨迹,产生曲面的那条线(直线或曲线)称为母线。控制母线运动的线或面,称为导线或导面,母线在曲面上任一位置,称为素线,曲线AB为导线,直线SB为母线,SB运动的各个位置为素线。
母线为直线时所形成的曲面中心称为直纹面;母线为曲线时所形成的曲面称为曲纹面。母线作规则运动时所形成的曲面称为规则曲面。控制母线运动的点、线、面称之为定点、导线和导面。

扩展资料
直圆锥母线的计算公式
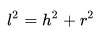
用l表示圆锥母线,h表示圆锥的高,r表示圆锥底面的半径,
则由勾股定理得,

所以 ,

这就是圆锥母线的计算公式。
有关圆锥母线计算公式的推论
运用圆锥母线的计算公式可以得到,

