本篇文章中公事业单位(www.zgsydw.com)提供数量关系知识:《排列组合的基本原理及公式》。
一、排列组合基本介绍
排列组合是数学运算的高频题型之一,在近几年的考试中连续出现。排列组合所涉及的知识内容众多,部分试题可依据固定的方法快速解答。同时,排列组合也是概率问题的解题基础,因此需要认真备考这一题型。
二、排列组合基本原理及公式
1.加法原理与乘法原理
加法原理:完成一件事情,需要划分几个类别,各类别中的方法可以独立完成这件事情。当这种分类没有重复、没有遗漏时,完成这件事情的方法总数等于每一类方法数之和。
【示例】从A地到B地,有3个车次的火车,有5趟汽车,2班飞机。那么从A地到B地一共有3+5+2=10种方法。
乘法原理:完成一件事情,需要分为几个步骤,每个步骤内的方法刚好完成该步骤,所有步骤实施完毕刚好完成这件事,则完成这件事情的方法总数等于每一个步骤的方法数之积。
【示例】从A地到B地需在C地转机,已知从A地到C地有4种方法,从C地到B地有3种方法。那么从A地到B地要分两步,A→C、C→B,共有4x3=12种方法。
中公点评:加法原理中要求“没有重复,没有遗漏”;乘法原理中,要求“步骤刚刚好”。在对复杂问题进行分类讨论、复杂事情分步完成的时候一定要注意这一点,才能保证计数的准确。
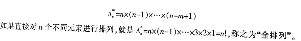
2.排列
排列指的是从n个不同元素中任取m个按照一定的顺序排成一列,排列种数记作

。根据乘法原理,把整件事分成m步,挑第一个有n种选择,第二个有(n-1)种选择,以此类推可得:

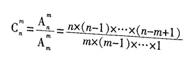
3.组合
组合指的是从n个不同元素中取出m个元素作为一组,组合种数记作

。与排列不同的是,组合只关注取出的是什么,不考虑取出的顺序。根据排列的计算方法,从n个不同元素中任取m个排成一列有

种情况,每组有

种排列,则组合数:

原文链接:排列组合的基本原理及公式
