决定系数R方计算:


从图片中可以看出:

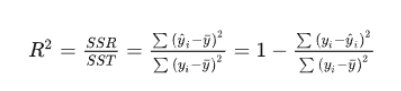
所以对于模型来讲肯定是能用回归直线解释的变差部分越大越好,也就是说明SSR占SST的比例越大,解释越多,同时也可以说明直线拟合的越好,所以我们引出一个指标R方,回归平方和占总平方和的比例,即为R方。计算公式为:

R方可以自己计算也可以借助数据分析工具进行输出,这里利用SPSSAU举例进行说明。

决定系数R方计算:


从图片中可以看出:

所以对于模型来讲肯定是能用回归直线解释的变差部分越大越好,也就是说明SSR占SST的比例越大,解释越多,同时也可以说明直线拟合的越好,所以我们引出一个指标R方,回归平方和占总平方和的比例,即为R方。计算公式为:

R方可以自己计算也可以借助数据分析工具进行输出,这里利用SPSSAU举例进行说明。
