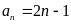
9依题意,数列为等差数列,因为,

9依题意,数列为等差数列,因为,

9依题意,数列为等差数列,因为,
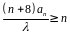
即,即,因为,

即,即,因为,

即,即,因为,

即,即,因为,
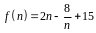
即,因为在时单调递增,

即,因为在时单调递增,

即,因为在时单调递增,

即,因为在时单调递增,
其最小值为9,所以,故实数的最大值为9.

其最小值为9,所以,故实数的最大值为9.

其最小值为9,所以,故实数的最大值为9.
9依题意,数列为等差数列,因为,

9依题意,数列为等差数列,因为,

9依题意,数列为等差数列,因为,
即,即,因为,

即,即,因为,

即,即,因为,

即,即,因为,
即,因为在时单调递增,

即,因为在时单调递增,

即,因为在时单调递增,

即,因为在时单调递增,
其最小值为9,所以,故实数的最大值为9.

其最小值为9,所以,故实数的最大值为9.

其最小值为9,所以,故实数的最大值为9.