1、形状
圆柱:由以矩形的一条边所在直线为旋转轴,其余三边绕该旋转轴旋转一周而形成的几何体。它有2个大小相同、相互平行的圆形底面和1个曲面侧面。其侧面展开是矩形。
圆锥:以直角三角形的直角边所在直线为旋转轴,其余两边旋转360度而成的曲面所围成的几何体

2、体积计算
圆柱的体积=底面积×高×1/3。如圆锥体积为(R为底面圆的半径,h为高):

圆锥的体积(V)=底面面积*高(S*h)
扩展资料:
圆柱和圆锥的关系:
1、一个圆锥的体积等于与它等底等高的圆柱的体积的1/3。
2、需要注意的是:圆锥不是特殊的圆柱。
圆柱与圆锥的区别有以下几点:
1、圆柱有两面个底面,圆锥只有一个底面。
2、圆柱的侧面展开图是长方形,圆锥的侧面展开图是扇形。
3、在不同的底、高、底面积下,圆柱与圆锥面积和体积不同。
如果是等底等高,则圆柱的体积是圆锥体积的3倍,反之,圆锥体积是圆柱体积的1/3;
如果高相等,体积相等,则圆锥底面积是圆柱底面积的3倍,反之,圆柱底面积是圆锥底面积的1/3;如果底面积相等,体积相等,则圆锥的高是圆柱的高的3倍,反之,圆柱的高是圆锥的高的1/3。

扩展资料圆锥体体的特点:
1、侧面展开是一个扇形 ;
2、只有下底,为圆 .所以从正上面看是一个圆;
3、从侧面水平看是一个等腰三角形;
4、由等腰三角形绕底边的高旋转得到一个圆锥;也可以由直角三角形绕一个直角边旋转得到一个圆锥;
5、圆锥体是轴对称的;
6、圆锥侧面展开扇形的弧长等于底边圆的周长 ;横截面是一个圆形;纵截面是一个等腰三角形 ;
7、所有母线的长度都相等;母线的长度大于锥体的高 .
圆柱体:
1、侧面展开是一个矩形 ;
2、上下底面为相同的圆 ;
3、所以从正上面看是一个圆 ;
4、从侧面水平看是一个矩形 ;
5、可以用矩形绕一个边旋转得到;
6、是轴对称物体;
7、侧面展开的矩形的一条边长度等于底的周长 ;
8、所有母线的长度都相等且等于圆柱体的高 ;
9、纵截面是一个矩形 ;
10、横截面是圆形 ;
11、斜截面是椭圆形。
圆柱与圆锥的区别有以下几点:
1、圆柱有两面个底面,圆锥只有一个底面。
2、圆柱的侧面展开图是长方形,圆锥的侧面展开图是扇形。
3、在不同的底、高、底面积下,圆柱与圆锥面积和体积不同。
如果是等底等高,则圆柱的体积是圆锥体积的3倍,反之,圆锥体积是圆柱体积的1/3;
如果高相等,体积相等,则圆锥底面积是圆柱底面积的3倍,反之,圆柱底面积是圆锥底面积的1/3;

扩展资料
圆柱与圆锥所有的公式如下:
1、圆锥的表面积侧面积公式
设圆锥的高为h,设圆锥的表面积为st,侧面积为sc,侧面积(也就是扇形的面积)可以用以下公式计算:

表面积等于侧面积与底面圆面积的和,也就是:

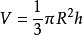
2、圆锥的体积公式
一个圆锥的体积等于与它等底等高的圆柱的体积的1/3。根据圆柱体积公式(V=Sh=πr^2*h),得出圆锥体积公式:

其中,S是底面积,h是高,r是底面半径。
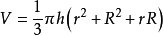
截顶圆锥体体积计算公式如下:(如图所示)

V=体积,R是大口半径,r1是小口半径,h是高。

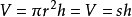
3、圆柱体体积公式
体积=底面积×高

4、圆柱表面积公式

公式中r为圆柱底面半径,h为圆柱的高。
参考资料
圆柱与圆锥的区别有以下几点:
1、圆柱有两面个底面,圆锥只有一个底面。
2、圆柱的侧面展开图是长方形,圆锥的侧面展开图是扇形。
3、在不同的底、高、底面积下,圆柱与圆锥面积和体积不同。
如果是等底等高,则圆柱的体积是圆锥体积的3倍,反之,圆锥体积是圆柱体积的1/3;
如果高相等,体积相等,则圆锥底面积是圆柱底面积的3倍,反之,圆柱底面积是圆锥底面积的1/3;如果底面积相等,体积相等,则圆锥的高是圆柱的高的3倍,反之,圆柱的高是圆锥的高的1/3。
扩展资料
圆锥体体的特点:
1、侧面展开是一个扇形 ;
2、只有下底,为圆 .所以从正上面看是一个圆;
3、从侧面水平看是一个等腰三角形;
4、由等腰三角形绕底边的高旋转得到一个圆锥;也可以由直角三角形绕一个直角边旋转得到一个圆锥;
5、圆锥体是轴对称的;
6、圆锥侧面展开扇形的弧长等于底边圆的周长 ;横截面是一个圆形;纵截面是一个等腰三角形 ;
7、所有母线的长度都相等;母线的长度大于锥体的高 .
圆柱体:
1、侧面展开是一个矩形 ;
2、上下底面为相同的圆 ;
3、所以从正上面看是一个圆 ;
4、从侧面水平看是一个矩形 ;
5、可以用矩形绕一个边旋转得到;
6、是轴对称物体;
7、侧面展开的矩形的一条边长度等于底的周长 ;
8、所有母线的长度都相等且等于圆柱体的高 ;
9、纵截面是一个矩形 ;
10、横截面是圆形 ;
11、斜截面是椭圆形。
圆柱和圆锥有什么相同点和不同点
相同点:
1.底面都是圆形;
2.侧面都是曲面.
不同点:
1.圆柱有两面个底面,圆锥只有一个底面.
2.圆柱的侧面展开图是长方形,圆锥的侧面展开图是扇形。
